总访问量:

欢迎访问! 登录

组会:GPL | 古海洋氧化还原状态的新指标-铈同位素

更多组会报告

GPL | 古海洋氧化还原状态的新指标-铈同位素

段皓晨,April 26, 2026

Ce同位素联合Ce异常约束古环境演化

      准确示踪古代海洋的氧化还原状态,是了解地质历史时期生物演化驱动、气候环境塑造和早期宜居性的重要指标。铈(Ce)异常——即稀土元素配分模式中Ce相对于相邻元素(La和Pr)的亏损或富集——被广泛用于指示古海水氧化还原状态。然而,越来越多的研究发现,生物活动和成岩作用也可以造成原始Ce异常信号,在条带状铁建造中也观察到了与氧化还原无关的Ce异常。对此,中国科学技术大学黄方教授团队的段皓晨特任副研究员通过第一性原理计算,对碳酸盐、锰氧化物吸附、磷酸盐和海水之间的Ce同位素质量分馏和非质量分馏系数进行了约束。这项工作对不同海洋氧化还原状态下,海水和沉积矿物中Ce同位素的分馏和组成变化提供了重要的参数,为使用沉积矿物(碳酸盐、锰氧化物和磷酸盐)恢复古海水Ce同位素组成奠定了理论基础。同时,该研究工作揭示Ce同位素的非质量分馏与质量分馏同等重要,核体积效应是控制矿物间Ce同位素分馏方向和温度变化下分馏系数调转的重要原因。Ce同位素联合Ce异常将为约束古环境演化提供更有力的工具。相关成果近期发表于Geochemical Perspectives Letters。

 

研究手段与结论

      从距今约24亿年前的“大氧化事件”让蓝细菌崛起,到显生宙多次生物大灭绝事件背后普遍存在的海洋缺氧证据,都指向一个核心问题:海洋的“氧化”与“缺氧”深刻地影响地球系统。无论是寒武纪生命大爆发所需的宜居环境,还是白垩纪大洋缺氧事件引发的极端温室气候,要厘清其根源需要精确地反演古海洋氧化还原条件。因此,开发可靠的氧化还原指标,重建地质历史时期海洋的氧化还原状态,是地球科学领域的前沿问题。

      Ce异常被广泛用于重建古海洋氧化还原状态,其原理在于:可溶的三价Ce会吸附在铁锰氧化物表面,被氧化为难溶的四价Ce,并随着铁锰氧化物的沉淀被高效移除,导致海水呈现负Ce异常,而沉积物则记录正Ce异常。然而,这一看似完美的逻辑正面临越来越多的挑战,使得单纯依靠Ce异常反演古氧化还原环境充满不确定性,亟需一个更直接、抗干扰的新工具。Ce稳定同位素体系的引入,为我们打开了一扇新的大门。Ce同位素组成(δ142/140Ce)的变化直接与化学反应过程(如氧化、吸附、沉淀)相关,特别是在氧化过程中会发生显著的Ce同位素分馏。因此,Ce异常和Ce同位素变化共同指示古海洋氧化还原状态,有望穿透生物和成岩作用影响的迷雾。但要将这个工具从定性推向定量,我们必须首先回答一个基础问题:在关键的地球化学过程中(如Ce被锰氧化物吸附、在磷酸盐中沉淀、或进入碳酸盐晶格),Ce同位素究竟如何分馏

      要定量解译地质记录中的Ce同位素信号,就必须知道Ce在不同矿物与海水之间的平衡同位素分馏系数。然而,对于Ce这样质量数较大的元素,厘清其分馏系数极其困难,因为它的分馏受两种效应共同控制:被广泛关注的质量相关分馏,以及较少被考虑的非质量相关分馏。其中,质量相关分馏受控于原子振动频率,非质量相关分馏则主要受核体积效应控制。核体积效应是原子核大小和形状差异所造成的电子与原子核库伦相互作用的不同,对于重元素尤为显著。

      来自中国科学技术大学的黄方教授团队,利用第一性原理计算,首次系统获得了海洋自生矿物(锰氧化物、磷酸盐、方解石)与海水之间的Ce同位素质量和非质量分馏系数,取得了以下关键结论:

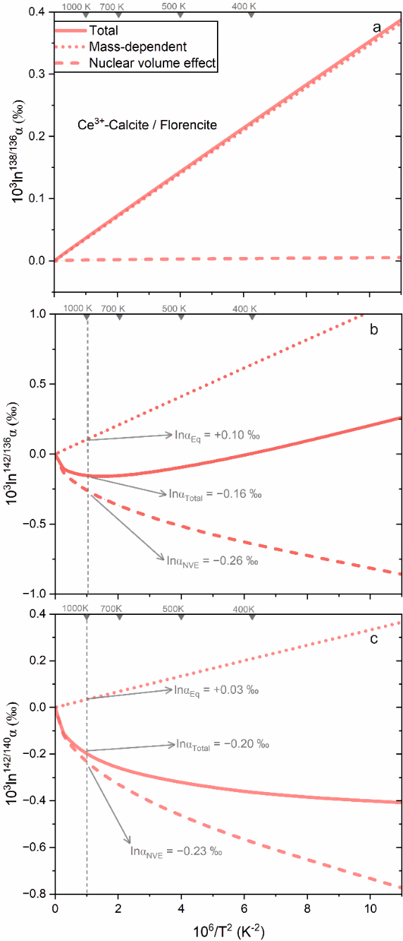
      1. 核体积效应不可忽视:对于142Ce-140Ce同位素对,核体积效应引起的分馏(103lnαNVE)与质量分馏(103lnαMass)大小相当甚至更强,对Ce同位素总分馏系数起主导性作用。例如,在Ce3+掺杂方解石中,300K时质量分馏为+0.37‰,而核体积效应导致的分馏为-0.78‰,总分馏为-0.41‰。这颠覆了只考虑质量分馏的传统认知(图1)。而对于138Ce-136Ce同位素对,核体积效应引起的同位素非质量分馏可以忽略不计,这种差异使得Ce同位素可以作为多维度同位素体系,共同示踪特定的地质过程。

 

图片

图1. 核体积对Ce3+掺杂方解石和磷铝铈石间铈同位素分馏的影响

 

      2. 不同矿物分馏行为迥异:在pH = 8的现代海水条件下,计算得到海水与各矿物之间的总分馏系数(103lnαTotal)分别为:锰氧化物:+0.40‰(氧化环境主控矿物);磷酸盐:-0.34‰(缺氧环境主控矿物);Ce3+掺杂方解石:+0.11‰;Ce4+掺杂方解石:-0.07‰。

      3. 海洋箱式模型预测:基于以上分馏系数,本研究构建了同位素分馏箱式模型(图2)。结果显示:在局部氧化海洋中,大量锰氧化物沉淀会使海水δ142/140Ce值升高(如从0‰升至+0.4‰);而在缺氧海洋中,磷酸盐沉淀则使海水δ142/140Ce值降低(如降至-0.17‰)。尤为重要的是,方解石与海水之间的分馏极小,这意味着古老碳酸盐岩能够较为真实地记录沉淀时期海水的Ce同位素组成,几乎不受矿物自身分馏的干扰。

 

图片

图2. 氧化态和缺氧态海洋区域中铈同位素变化的示意图

 

未来展望

      这项研究为Ce同位素重建古海洋氧化还原历史奠定了坚实的理论基础。计算结果表明,古老沉积碳酸盐岩方解石δ142/140Ce值变化,可能直接反映了古海水Ce同位素组成的演化,进而指示了古海洋氧化或还原事件。而联合分析碳酸盐岩、磷块岩和铁锰结核的Ce同位素,将能更精细地刻画海洋不同区域的氧化还原结构。

      当然,前路依然充满挑战。未来需要结合高精度分析化学,对地质历史关键期(如大氧化事件、雪球地球、二叠纪-三叠纪之交)的碳酸盐岩剖面开展系统的Ce同位素研究,与Ce异常、Fe、S、N等氧化还原指标相互印证。Ce同位素将成为一把解开古海洋氧化还原谜题的“金钥匙”,为理解地球环境和生命演化提供新视角。

 

论文信息

      论文的第一作者为国科大段皓晨特任副研究员,合作者包括中国科大肖子聪特任副研究员和黄方教授。该项目受到国家自然科学基金重点项目、国家自然科学基金青年项目和博士后国际交流计划引进项目资助。

      论文信息:Duan, H.C., Xiao, Z.C., Huang F., 2026. Cerium isotopic constraints on oceanic redox conditions: Insights from first-principles calculations. Geochemical Perspectives Letters 39, p29-35.

      论文链接:https://www.geochemicalperspectivesletters.org/article2609/

附加信息:

讨论板块

你必须登录之后才可以参与讨论。

通讯地址 安徽省合肥市金寨路96号中国科学技术大学东校区理化大楼12006
邮政编码 230026
电子邮箱 zbj0601@ustc.edu.cn
电话 +86-551-63606255
皖ICP备05002528号-1